资源中心

技术相关

首页>资源中心>技术相关

液相纳米碳催化:溶剂笼、自由基链与氢键活化,是和气相完全不同的战场(Liquid-Phase Catalysis)

日期:2026-03-14 浏览:3

液相纳米碳催化:溶剂笼、自由基链与氢键活化,是和气相完全不同的战场(Liquid-Phase Catalysis)

要点速览(TL;DR)

  • 纳米碳在液相可用于选择氧化、还原、加成与聚合等反应;活性位点通常来自缺陷与 O/N/B 等异质原子位点。
  • 以己烷一步氧化制己二酸为例,碳纳米管(CNT)/NCNT 在 398 K、1.5 MPa O₂ 条件下反应速率可达 373 与 879 mmol-己烷 g⁻¹-cat h⁻¹,显著高于部分金属催化体系在相同条件下的 30–200 mmol-己烷 g⁻¹-cat h⁻¹。
  • 机理上,CNT 可促进溶剂笼(solvent cages)中的反应通量,推动自由基链反应传播;掺氮可稳定关键自由基/过氧中间体,降低能垒。
  • 碳材料也可催化硝基芳烃还原:证据指向酮式羰基位点通过氢键活化还原剂(如联氨),促使硝基还原到亚硝基中间体并进一步转化为苯胺。
  • 液相体系放大瓶颈通常是分散、润湿与固液分离;粉体团聚会让“表征很高”变成“位点不可达”。

关键概念与术语表

术语 含义 工程上最关心的点
溶剂笼 溶剂分子围成的局部反应微环境 决定自由基链传播效率
自由基链反应 通过自由基传播的反应序列 影响速率与副反应
一步氧化 单步骤用 O₂ 等氧化剂生成目标产物 环境友好与选择性
酮式羰基 表面 C=O 位点(偏酮式/醌式) 常作为活性位点被讨论
氢键活化 通过氢键削弱 N–H 等键 促进氢转移与还原
团聚 纳米碳在液相中聚集 导致可用位点显著下降

己烷→己二酸:把“硝酸路线”换成 O₂,一步法的意义在环保

己二酸是聚氨酯与尼龙 66 的关键原料。传统工艺通常经历两步:先空气氧化得到环己醇/环己酮,再用硝酸氧化得到己二酸。硝酸步骤会带来显著 N₂O 排放(报道量级可达全球排放的 >10%),环保压力大。

纳米碳提供了一条替代思路:用分子氧在一步反应中实现己烷到己二酸的氧化。报道指出活性炭、CNT、石墨、纳米金刚石等均可表现出活性,其中 CNT 与 NCNT 在 398 K、1.5 MPa O₂ 条件下速率分别可达 373 与 879 mmol-己烷 g⁻¹-cat h⁻¹。

反应为什么会被 CNT 推快:溶剂笼里的自由基链传播被增强

机理研究指出 CNT 可促进溶剂笼内的反应通量,从而增强自由基链反应传播并提高总体速率;掺氮可稳定关键中间体(例如 C₆H₁₁· 与其过氧化物 C₆H₁₁OO·),使反应能垒降低。工程含义是:在液相体系中,纳米碳不仅提供位点,还改变了“微环境”。


图1. CNT 促进溶剂笼中己烷选择氧化的示意(原始图 8.21)

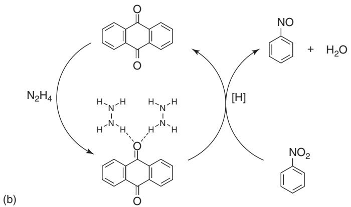
硝基苯还原:酮式羰基通过氢键活化联氨

碳材料也可用于硝基芳烃还原制苯胺。报道指出天然石墨、富勒烯、还原 GO 等均可催化硝基苯还原。机理图景可以概括为:酮式羰基氧先与联氨形成氢键,削弱 N–H 键并活化氢转移;随后硝基被还原到亚硝基中间体并进一步转化为苯胺,同时 H₂O 脱附为副产物。该路径强调“羰基位点 + 氢键活化”的作用,而不是金属氢化路径。


图2. 硝基苯还原的反应路线与羰基位点作用示意(原始图 8.22)

工程放大:液相的第一性问题是分散与分离

液相反应中,纳米碳粉体的团聚会显著降低可用位点;润湿不足会导致孔道不被浸润,出现“比表面积很高但反应不快”的现象。放大时还必须面对固液分离与催化剂回收的成本与复杂度,因此工程评价需要把反应速率、选择性与分离/再生策略放在同一张表里。

常见问题(FAQ)

  1. 为什么液相碳催化经常重复性更差? 分散状态、润湿与传质条件的小波动会被放大成速率差异,需要标准化操作窗口。

  2. CNT 在己烷氧化里最关键的作用是什么? 促进溶剂笼中的自由基链传播并提高反应通量,掺氮还能稳定中间体降低能垒。

  3. 硝基苯还原为什么不一定需要金属? 碳表面酮式羰基可通过氢键活化还原剂并促进氢转移,从而走出金属以外的路径。

  4. 团聚会带来什么后果? 大量位点变得不可达,速率与选择性都会失真,批次差异也更大。

  5. 液相体系放大最先遇到的瓶颈是什么? 固液分离与再生/回收策略往往比初始活性更决定经济性与可行性。


精工博研-国磨质检(国家级石墨检测平台)

  • 依托国家磨料磨具质量监督检验中心能力体系**,

  • 面向石墨焦炭石油焦炭素制品锂离子电池石墨类负极材料等碳材料

  • 提供化学成分晶体结构力学性能物理性能高温性能等检测服务,可覆盖石墨化度、灰分、挥发分、固定碳、全硫/硫分、体积密度、真密度、气孔率、电阻率、抗压强度、抗折强度、抗拉强度、高温力学性能等关键指标。

  • 依托国家级质检平台基础CNAS 认可CMA 资质认定及央企体系背景,精工博研-国磨质检可为企业研发验证、原料评价、质量控制、产品性能测试及进出口质量证明等场景提供专业、规范、可信的检测技术支持。

  • 针对石墨等碳材料进出口业务,和国内多个海关合作,相关检测报告可作为企业报关、报关及质量技术说明的参考依据

    欢迎您联系我们,沟通交流,联系电话 19939716636(微信同号)


关于我们
CMA资质认定证书
CMA资质认定证书
CNAS资质证书(中文)
CNAS资质证书(中文)
CNAS资质证书(英文)
CNAS资质证书(英文)
CML证书
CML证书
液相色谱仪
液相色谱仪
智能型台式镜向光泽度仪
智能型台式镜向光泽度仪
跌落试验机
跌落试验机
高精度智能电子拉力试验机
高精度智能电子拉力试验机
落镖冲击试验仪
落镖冲击试验仪
​水蒸气透过率仪
​水蒸气透过率仪
报告查询
联系电话
0371-67646483
微信
微信公众号
在线客服
返回顶部
首页 检测领域 服务项目 咨询报价